Betadex Sulfobutyl Ether الصوديوم السواغات الصيدلانية القابلة للحقن EP USP Grade

Betadex Sulfobutyl Ether الصوديوم السواغات الصيدلانية القابلة للحقن EP USP Grade

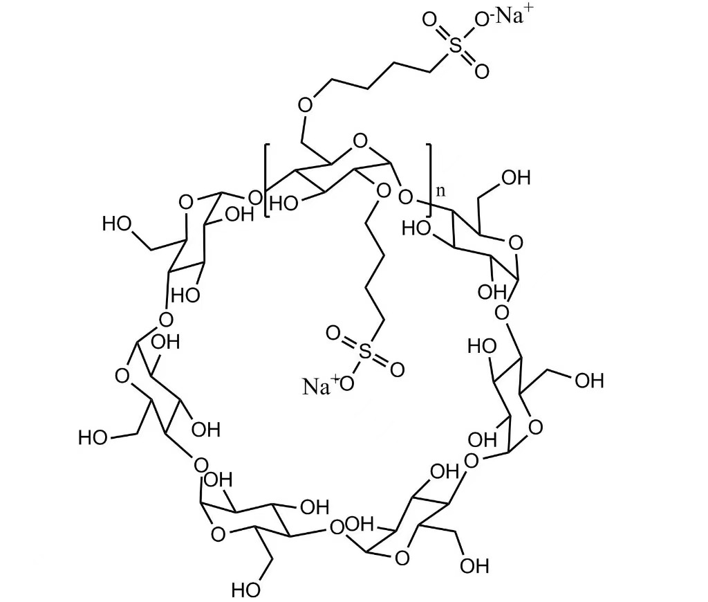
Betadex Sulfobutyl Ether Sodium Injectable Pharmaceutical Excipient EP USP Grade (CAS 182410-00-0) هو مشتق من الدكسترين الحلقي شديد الذوبان في الماء يستخدم كمذيب ومثبت في تركيبات الأدوية القابلة للحقن، مما يعزز قابلية الذوبان والسلامة والتوافر البيولوجي.

إرسال استفسار

وصف المنتج

شركة شيان ديلي للصناعات البيوكيميائية المحدودةهي مؤسسة ذات تقنية عالية متخصصة في البحث والتطوير والإنتاج والمبيعات لمشتقات السيكلودكسترين. تأسست الشركة في عام 1999، وتتمتع بخبرة تزيد عن 25 عامًا في مجال السواغات الصيدلانية، بما في ذلكهيدروكسي بروبيل بيتاديكس (HPBCD)وبيتاديكس سلفوبوتيل إيثر الصوديوم (SBECD). تدير الشركة مناطق نظيفة مخصصة وخطوط إنتاج متقدمة، مما يضمن منتجات عالية الجودة ومستقرة ومتسقة للتطبيقات الصيدلانية العالمية.

وصف المنتج

Betadex Sulfobutyl Ether الصوديوم السواغات الصيدلانية القابلة للحقن EP USP Grade(CAS 182410-00-0) هو مشتق سيكلودكسترين أنيوني قابل للذوبان في الماء بدرجة عالية. يعمل SBECD كمذيب، وعامل ترطيب، وعامل خالب، وعامل إخفاء، مما يعزز قابلية ذوبان الدواء واستقراره وسلامته في التركيبات القابلة للحقن والفم والأنف والعين. يستخدم SBECD على نطاق واسع في واجهات برمجة التطبيقات المضادة للفطريات والفيروسات والقلب والأوعية الدموية والأورام.

مواصفات المنتج

رقم سجل المستخلصات الكيميائية: 182410-00-0
الصيغة الجزيئية: C42H70-nO35·(C4H8SO3Na)n
الصف: قابل للحقن ومتوافق مع EP وUSP
المظهر: أبيض إلى مسحوق غير متبلور أبيض مصفر
الفحص: ≥99.0٪
التطبيقات: المستحضرات الصيدلانية القابلة للحقن أو الحقن
تفاصيل التعبئة والتغليف: 500 جرام/الحقيبة؛ 1 كجم/كيس؛ 10 كجم/كيس؛ 10 كجم/طبل؛ التعبئة والتغليف المخصصة المتاحة
التخزين: مختومة وجافة
مدة الصلاحية: 36 شهرًا
شهادة توثيق البرامج / ضمان الجودة: 

يتم اختبار كل دفعة من SBECD للتأكد من نقاء المقايسة، والسموم الداخلية البكتيرية، والمذيبات المتبقية، والمعادن الثقيلة، ومتوسط ​​درجة الاستبدال (DS)، بما يتوافق مع معايير دستور الأدوية USP وEP.

تطبيقات المنتج

يستخدم Betadex Sulfobutyl Ether Sodium لتعزيز القابلية للذوبان، وتقليل سمية الكلى، وتقليل انحلال الدم، وتحسين امتثال المريض. SBECD مناسب لأنظمة التوصيل عن طريق الوريد، والعضل، والأنف، والفم، والعين. إنها تشكل مجمعات متضمنة ذات واجهات برمجة التطبيقات (APIs) الأساسية الضعيفة والتي تحتوي على النيتروجين، مما يوفر إطلاقًا مستدامًا واستقرارًا محسنًا.

هيدروكسي بروبيل بيتاديكس (HPBCD) - سواغ صيدلاني عن طريق الحقن والفم
بيتاديكس سلفوبوتيل إيثر الصوديوم (SBECD) - مشتق سيكلوديكسترين قابل للحقن

التعليمات

س: هل شركة Xi'an Deli Biochemical هي الشركة المصنعة لـ SBECD؟
ج: نعم، تقوم شركة Xi'an Deli Biochemical بإنتاج Betadex Sulfobutyl Ether Sodium (SBECD) وHPBCD. يستخدم بيتا سيكلودكسترين كمادة خام لإنتاج المشتقات.

س: هل العينات متاحة؟
ج: نعم، عينات SBECD متاحة للتقييم.

س: ما هي الدفعة والقدرة الإنتاجية السنوية ؟
ج: تبلغ الطاقة الإنتاجية لدفعة SBECD 2.5 طن، ويتجاوز الإنتاج السنوي 200 طن.

س: ما هي الوثائق التنظيمية المقدمة؟
ج: تتوفر شهادات توثيق البرامج وMSDS وبيانات الاستقرار والملفات الفنية لجميع الدفعات.

س: خيارات الشحن؟
ج: الشحن العالمي عن طريق الجو أو البحر أو البريد السريع.

الكلمات الساخنة: Betadex Sulfobutyl Ether الصوديوم السواغات الصيدلانية القابلة للحقن EP USP Grade، المصنعين، الموردين، الصين، المصنع، السائبة، عينة مجانية، صنع في الصين، في المخزون، بالجملة، شراء

الفئة ذات الصلة

إرسال استفسار

لا تتردد في تقديم استفسارك في النموذج أدناه. سوف نقوم بالرد عليك خلال 24 ساعة.
icon
X
نحن نستخدم ملفات تعريف الارتباط لنقدم لك تجربة تصفح أفضل، وتحليل حركة مرور الموقع، وتخصيص المحتوى. باستخدام هذا الموقع، فإنك توافق على استخدامنا لملفات تعريف الارتباط. سياسة الخصوصية
يرفض يقبل